2023 Taipei Ascension Conference
IGAG Official Note Day 1 April 8th

Disclaimer: this note is a reverse translation of the Chinese transcript of 2023 Taipei Ascension Conference. The translator team has done its best to present Cobra’s two-day session in this revised note. However, the content does not necessarily record the original words spoken by Cobra. Some energy works and meditations are omitted in this note as they should be experienced on site. Many details about Portal of Light activation are also omitted as they are already posted on Cobra’s blog. This note only serves as a reference and cannot present the full content of a Cobra Conference. People who feel so guided are more than encouraged to participate in a Cobra Conference in the near future.
April 8th
Thank you for coming to the Ascension Conference. It has been 3-4 years since the previous Taiwan Conference. We are going to have a major global meditation event on May 1st this year.This conference is a very good warm-up and preparation for the next global meditation event on that day. What we are going to do today and tomorrow is to help us successfully open the Portal of the Light on May 1st. This is what we are working for: victory of the light.
This is the purpose of our reincarnation on Earth. The purpose of our reincarnation on Earth at this point in time is to achieve the victory of the light, and we have spent many lifetimes on Earth until now to make preparations. We are making preparations in every lifetime, preparing for the years to come. This critical period is on May 1st. So everything before May 1st is just a rehearsal. The real beginning starts on May 1st.
We have read many articles and messages on the Internet. We must unlearn what we have learned before. We must forget what we have remembered in our minds. Those things are not entirely true, because this planet has been in quarantine for a very long time. The dark forces always prevent humans from finding the truth, that’s why they can imprison humanity for such a long time. It is very difficult to find the real information on Earth.
The way people observe the world is like a blind man feeling an elephant. They can only see a small part of reality. Does anyone think this is an elephant? (Photo)

First of all, we have to expand our vision and consciousness. The stars we usually see in the clear night sky are only in the small yellow circle of the galaxy in the picture. Andromeda is the only galaxy we can see with naked eyes .What we see is only a very small part of the universe. . All the stars we can see in a clear sky are just a very small part of the galaxy. So we have to expand our horizons.

I used to fly to the stratosphere with a fighter jet. It was a very refreshing and exciting experience. That experience opened my eyes to a new world beyond the Earth’s quarantine zone. It gave me a sense of hope for the future of humanity. There are many positive races outside of the Earth quarantine zone. They are coming to help humans in the next stages of our lives.
We are going to have a journey. So, what are we going to experience in this journey?
The universe is going to reset itself. What we are seeing now is connected with the bigger picture. We’re about to enter the climax of the cosmic cycle. A huge cosmic cycle is coming to an end and a new one is about to begin. As you may know, the universe can breathe and expand, just like a heartbeat.
The universe begins its expansion from a singularity. It will contract and expand again. Now that the universe has reached its maximum expansion, it is going to contract. Between expansion and contraction, there is a very strange and special moment. After the universe has reached its maximum expansion, it will enter a state of stillness. It will not expand or contract. When it is at this stage of stillness, the Source energy can intervene in the universe.
On May 1st, if we look up, Pluto will be stationary in the sky. Through this particular astrological configuration, the energy of the Great Cosmic Reset will begin to enter the Earth. It will rearrange everything and bring the Earth into the Cosmic Reset.
The universe is actually a torus. It is always circulating inward and outward. In its center is a stargate. The central point is the portal through which the Source energy enters the universe. This torus has been expanding so far,now it has reached its maximum expansion. Now, it will start to contract.
It will spend hundreds of billions of years contracting and then expanding once again. Since the universe is now about to expand to its maximum, it will begin to clear everything in the old cycles. All darkness and anomalies must be removed.
Physicists have discovered an interesting thing , which is called the false vacuum theory. It means that our universe is in a false vacuum state.
Basically, this theory says that our universe has not yet reached a state of complete energy balance. It is not yet in a state of equilibrium. All the laws of physics that we know now are unstable. When it enters a phase transition, black holes will suddenly disappear. The speed of light in this next space-time continuum will not be the fastest speed.
Now the universe is full of darkness and duality. It is now entering into a better reality. So the universe will undergo a very profound change.
Earth is the last point which this cosmic transformation needs to happen. The dark forces have made Earth a stronghold. They are trying by all means to stop the transformation, but they are losing. We are now at the point where the universe is beginning to filter itself into a larger reality , and there is scientific evidence for this. (Photo)

Physicists once measured the mass of the top quark, they found that the universe is not completely stable or unstable. It is in a sub-stable state.
This is what I call a transitional phase , where all the particles that form matter change with it.
We are going to experience the quantum leap and then enter a new reality. We are entering a transition at the quantum level.

Quantum Fluctuation Resonator is a miniature model of the universe. Its surface can create a torus. This is how the universe keeps filtering and purifying its quantum field
You can imagine the middle white crystal is our Earth. The Light forces are using the Earth to filter the whole universe, its reality and its quantum field. The whole quantum field is getting better and better. Once all the quantum vacuum of the Earth is filtered, everything will become better. I know it sounds out of touch with reality, but there are many entities in the quantum field. We can’t see them, but they are affecting our daily life. If we can change the quantum field, we can change things around us.
The dark forces have been controlling us for 25,000 years by influencing the quantum field. Our surface world is the result of quantum field manipulation by the dark forces for the last 25,000 years. We have reversed this situation over the last few decades . We are purifying the quantum field around the Earth, which will change the fate of our planet.
The dark forces have their technology and the light forces have their technology. Our connection with the Source can purify all quantum fields, and a breakthrough will happen one day. That’s why we are here on Earth. We won’t stay here forever. We have this opportunity to create and experience breakthroughs.
So far we are preparing for a big change. There are already some signs that the energy of Galactic Central Sun is becoming more and more active.
We have held many global meditation events in the past, but many people were disappointed because the results were not as expected.
One thing we need to remember is that we are fighting against an enormous amount of darkness. While some plans of the light forces did not go as well as expected, the dark side were not so successful either. For example, the dark forces tried to use the covid epidemic to isolate people and turn the Earth into a technological dystopia, but their plan didn’t work out in the end. The Dark Side tried to trigger World War Three, but it didn’t work either.
So we have to keep working until the breakthrough happens. Every step we take will leave a footprint in history, and we see more good signs emerging. The energy of the Central Galactic Sun has become stronger. The level of human consciousness has reached a certain level that we can now feel the energy of the Galactic Central Sun. Hence, the Galactic Center cintamani stones finally become available for everyone. This is something that was impossible. I knew this type of cintamani stones more than a year ago. I was instructed not to give them to the surface population. I brought a small batch of Galactic Center cintamani stones to the Paris conference last December. It was very, very difficult and troublesome to do so.
We can change the climate and geopolitical situation of a country by burying cintamani stones. The infight among some teams will make a country become chaotic. They had a chance to create a better grid of Light, but they failed and caused a national crisis
Jedi:Since 2016, we have started to bury cintamani stones according to Cobra’s instructions. We have buried many cintamani stones in Taiwan, Mainland China, Malaysia and all over the world. So Far, about 10,000 cintamani stones have been buried. We have also buried many goshenite, morganite and Tibetian freewill crystals. It has been four years since the last typhoon actually landed on Taiwan. In order to maintain peace between Taiwan and China, we have buried two lines of cintamani stones at Taiwan Strait. Two lines are connecting Taiwan, Fujian and other coastal areas of China. Cintamani stones are very useful and powerful. We thank Cobra for telling us this method.

Maintaining Light grid is very important. It is not only for ourselves, but also for the whole country and the quality of life of everyone around us. Light grid will form a resonance field, which affects everyone’s consciousness. When you bury a cintamani stone in a specific location, it can affect people miles around it. The same principle applies to tachyon healing chambers. Once such a chamber is placed at a specific energy point, its energy can affect all the people around it.
Let’s move on to the most important aspect of the Event. We just talked about the important cosmic cycle which takes tens of billions of years. We will not only experience the big cycle but some smaller important cycles.
Each galaxy has its own central sun which is the heart of each galaxy. The heart of our galaxy has its own heartbeat. When the Galactic Central Sun completes a cycle, it will emit a huge energy pulse called the Galactic Super Wave. Each galaxy has its own heart, and each galaxy will experience a super wave at a specific point. Each central sun is a multi-dimensional portal,which connects to higher dimensional worlds, cosmic scalar field and the Source. Each cycle will trigger the etheric scalar field of Galactic Central Sun, causing the magnetic reversal of that Galactic Center. The magnetic reversal will then change the magnetic pole direction of the whole galaxy.
It takes 13,000 years for the Galactic Center to reach its maximum expansion, and another 13,000 years for contraction . So the whole cycle takes 26,000 years. When the magnetic pole of the Galactic Center is reversed, the polar shift will happen very fast. The Galactic magnetic poles can be turned over in just a few years
We sometimes see very active galaxies in the sky, known as Seyfert galaxies. Scientists have discovered these galaxies are experiencing their galactic superwaves. Our own galaxy is about to experience a magnetic polar shift and a galactic superwave.
Geologists in Greenland measured the isotopic content in glacier ice samples. They found evidence of previous magnetic pole reversals Scientists also checked the isotope content in glacier samples , and they have found an energy spike 13,000 years ago when the last Galactic Superwave hit the Earth. it caused a sudden ice age and probably froze lots of animals to death within minutes.
Siberia was a very warm region. When the galactic superwave reached the Earth, the entire land froze over within minutes. Mammals in that area were frozen instantly. Their meat was still fresh tens of thousands of years later so that many people may eat it. When the galactic superwave hits, the Earth temperature might drop by 15 degrees in a matter of minutes. It‘s a very quick and violent process.
This galactic cycle coincides with another cycle. From 1975 to 2025, the sun is aligned with the Galactic Center. On the winter solstice of 1998, the sun sat right at the galactic plane. That was the day when transition began. Both summer and winter solstices are portals that allow the energy of the Galactic Center to come to the Earth. During this 50-year window, galactic activities will have a great impact on the solar and surface situations. Their impact will be particularly strong during this period. This is a time when many cycles are converging and influencing each other. These cycles are speeding up the clearing of darkness and anomalies.
Darkness has been a big problem for the last 8 million years. This problem will be solved once and for all.
When a physical polar shift happens, it will cause a mass extinction of Earth species. As the Earth’s rotation axis suddenly changes, there will be a very strong centrifugal force , which will cause a huge tsunami. This tsunami is the natural purification process. It will wash the Earth and bring back balance. Such a tsunami has happened many times in human history and many times in the Atlantis era. Many aboriginal legends have the record about the Great Flood. The Great Flood is a partial memory of the past Galactic Superwave
Mass extinction happens once every 13,000 years. This cycle overlaps with half of a galactic cycle.
Some extinction events were very serious, while others were not so bad. On a scale of 0 to 10, if an extinction event occurs at a level of 8 to 9, most humanity will not survive. If it’s level 4 or 5, most of humanity will probably still be alive.
In fact, we are not alone in this process. The galactic forces of light will evacuate all beings who want to leave to their motherships before polar shift. Noah Ark in the Bible actually is actually the story that light forces evacuated humanity and animals from the surface to their motherships. Many indigenous peoples have their own versions of the Noah Ark story.
The ancient Egyptian priests knew about the Great Flood. The purpose of Archon invasion was to erase the memory of the great evacuation from mankind. The Adam and Eve story The history of cataclysm was declassified by CIA. This book introduced what a physical polar shift looks like and why it happens.
Galactic superwaves will send a very strong wave of non-physical particles to the surface of the earth. When these particle waves hit the sun, the sun will be activated. These particle waves will also affect the earth’s magnetic field.
The Earth’s magnetic field is in the early stages of polar shift. The reversal will become faster and faster.
We are now in the first half stage of magnetic polar shift. Now we not only have one north pole and one south pole but multiple magnetic poles. This means that magnetic polar shift will happen soon.
Now the whole earth’s magnetic field is getting weaker and weaker. The Carrington event in 1859 bombarded the Earth’s magnetic field. The Earth’s magnetic field hence becomes unstable. The Carrington event was a sign of future magnetic polar shift.
The Earth’s magnetic field remained stable for a little while. After the year 2000, the Earth’s magnetic field started to become weaker and weaker. The Earth’s magnetic field may drop to 0% in 2025. Scientists have not been able to confirm what will happen in 2025. We now know that the Earth’s magnetic field has already decreased by 25%, with only 75% of its original strength remaining. Every year the Earth’s magnetic field will decrease by 1 to 2%
The Sun itself has its own cycle. This is an 11-year solar activity cycle (Fig.) The sun enters its maximum phase every 11-12 years. The previous s maximum phase was in 2012. The next one will be in 2024~2025. The next solar maximum will become much more active.There will be more sunspots and solar storms The solar activity is much stronger than predicted.
The red line is the curve predicted by scientists, but the actual observation is a black curve.

The reason why the Sun is more active than expected is because the Sun receives a lot of energy from the Galactic Central Sun.
A very strong solar cycle produces a very strong solar flash. In a normal solar maximum, the level of solar flare is usually under Level X. Usually, X10 solar flash occurs once or twice in 11 to 12 years during the solar maximum. The power of X20 solar flashes is even greater. X30 solar flash occurs once every 100 years. The Carrington event in 1859 was an X30 solar flare that caused the Earth’s magnetic field to begin to weaken. There is an even stronger solar flare that only happens once every few thousand years.
If the Earth now encounters a X10 solar flare which happens about once every solar maximum, there is a 25% chance that the Earth’s magnetic field collapses. If it’s an X20 solar flare, there is a 65% chance that the Earth’s magnetic field collapses.
The X10 solar flare will probably occur in the next few years, and the X20 level is also possible but not very probable. As solar flares keep bombarding the Earth’s magnetic field, the latter will become weaker and weaker.When the Earth’s magnetic field becomes very weak, something extraordinary will happen.
The Earth is a sphere with many layers. Between the Earth’s crust and mantle, there is a layer known as Mohorovičić discontinuity. It is sticky and plastic. The surface world as we know it sticks to Mohorovičić discontinuity as long as the magnetic field is strong enough.
If the Earth’s magnetic field weakens to a certain degree, Mohorovičić discontinuity will liquefy. The Earth’s crust will start to move and float.All continents will start to drift.
As the Earth still rotates, it contains a gigantic centrifugal force. When the mantle can no longer hold the crust, a huge tsunami will sweep the entire surface of the earth during the physical polar shift. Some Doomsday Preppers are preparing for this potential cataclysm. If people try to survive, they must escape and hide in high mountains. The Cabal has built bunkers in order to survive. All humans will also undergo this inevitable transformation. People who are ready will be evacuated.
The mainstream media does not discuss these topics yet. The cabal is suppressing the evidence. The dark forces don’t want these topics to go public . Once people know about these truths, our modern world would panic. People will rebel and stop going to work. The Cabal thinks that polar shift is the most dangerous knowledge. The cabal wants continue to control the Earth, but it has no way to control the Earth’s magnetic polar shift
The light forces are doing their best to give humans as much time as possible. They want us to prepare for the upcoming shift.
Many people want the Event to happen right now, but everything has to happen at the right time. The Earth has to be ready for it. We have to minimize the damage, so we have to remove darkness on Earth as much as possible. The great change has to be as less chaotic as possible. The light forces put some brakes in this process so that the dark forces won’t go crazy and destroy this planet. The light forces have built one Dyson sphere around our sun and one around the Earth. Those Dyson sphere scan regulate the intensity of galactic waves
The light forces are utilizing Dyson Spheres to adjust the intensity of solar activity. If the solar energy comes too fast and too strong, humans will go crazy. As the earth’s magnetic field is getting weaker, more and more people might go mad.
A normal geomagnetic field can maintain human brain function. If the geomagnetic field collapses, human brain cannot function properly. People will become more aggressive. They won’t be able to do logical thinking based on facts. Human brain neurons have to be supported by the Earth’s magnetic field.
Some tech companies have tried to mimic the Earth’s magnetic field. They have developed technologies to maintain human brain function, and they have received some positive results.
If the Earth’s magnetic field goes too weak, human immune system will become weak as well. Human body will suffer strange diseases. Some tech companies invented a chamber which can simulate the Earth’s magnetic field before 1895. Once people go into the chamber, strange diseases can be healed.
When the Earth’s magnetic field reverses, the Earth’s equator will change its position. This is the equator in the age of Atlantis. This Atlantean equator passed through Greece, Turkey, Paris, Stonehenge in the UK, and New York in the U.S. We call it : Goddess Equator. Back in Atlantis, people used to build many temples along this ley-line.

Baalbek was right down below the Goddess equator. There were lots of huge Goddess temples and sacred lakes in Baalbek. Those temples were built 15,000 years ago, but they were destroyed during the great flood. The Romans built the temple of Jupiter on an ancient foundation of one of those Goddess temples. You can find many ruins and remains of some of the goddess temples in Baalbek. This Goddess equator is an important energy ley-lines on the Earth. This line goes through Paris. After the Event, we will build Goddess temples along this ley-line so that we can reconnect to the positive timeline of ancient Atlantis
We are going to activate a huge portal in the next few years.The initial part of this portal will be activated in 2023. Lots of cosmic energy will come to the Earth. Some insiders expect that magnetic polar shift and a tsunami will occur during this time period. However, there is no way to predict the earth’s future because it is bound to our free will which is a dynamic choice. We can predict the future with a predictive model, but we cannot know what exactly will happen.
We can reverse and change some processes, as there is some room for change in the future.
Martin A. Armstrong, a well-known economist, predicts that Western civilization will collapse around September of 2024.
There will be a very powerful and important astrological configuration around 2025. This astrological configuration will be as powerful as what we used to experience during the Renaissance 500 years ago.
The first major astrological event is that Pluto enters Aquarius in March of 2023. This will change many things on the Earth. Neptune will enter Aries in 2024-2025. Uranus will enter Gemini in 2025. These three outer planets will change their astrological signs at about the same time. They will together create a beautiful sextile, a harmonious aspect in astrology. This astrological configuration will lead to a new Renaissance.
These three planets are significantly connected to humankind’s spiritual evolution. The upcoming aspect by these three exoplanets will have a great positive impact on human spirituality.
Pluto re-enters Aquarius after more than 200 years. Last time it entered Aquarius, it triggered the French Revolution. Pluto in Aquarius means that we are marching into a new chapter of the Age of Aquarius. The energy of Pluto can effectively cleanse human subconscious and bring all that has been suppressed into light. The Cabal uses suppression and lies to control humanity. Plutonian energy can reveal those lies. Pluto in Aquarius has already worked on many levels. It had already caused instability in the financial system.
We have learned that some big banks are not very safe. Pluto in Aquarius will eventually cause the financial system to collapse, because the modern financial system itself is a big lie.
Since Pluto entered Aquarius on March 23rd, the banking system has become much more unstable. Many banks have been severely over-loaned. After Pluto entered Aquarius ,Credit Suisse was merged by UBS. First Republic Bank got bailed out. Investors of Silicon Valley bank were bailed out as well. Federal Reserve did so by printing an unlimited amount of money.
The Fed officials said to the world that they bailed out these banks in order to save market confidence. In fact, they were providing an unlimited amount of money.
As Pluto entered Aquarius, the financial system is now in the era of zero reserves. All banks can now operate without any reserve. In other words, now the banks do not need a penny in order to lend money to people. If you are a cabal member, you can start a bank and then lend unlimited money to anyone you wish. The Fed will lend unlimited money to those banks even if it goes bankrupt.
The Cabal’s banking system is theoretically perfect. However, printing too much money will result in devaluation and inflation.Inflation will decrease people’s confidence in currency.
As the solar activities become more active, inflation will eventually lead to more civil unrest.
This inflation is getting very serious. Most people don’t get any raise in their salaries, while everything is getting more and more expensive. Many people were struggling on the poverty line. Now they are living below the line. This situation makes people revolt for their living rights.
This zero reserve system has made human society become very unstable. The situation now results in an uprising of kundalini energy. When the Fed printed money to bail out those banks, it didn’t think the human kundalini energy would rise. People think they’ve had enough.
As the Sun gets stronger, the human kundalini energy gets stronger as well. These are the results of Pluto in Aquarius. When Neptune enters Aries, which represents a new cycle, it will bring new spiritual inspirations and a new spiritual cycle.
When Neptune enters Aries, it will create a sextile with Pluto which is a very harmonious aspect. It will trigger a new spiritual renaissance and also the Ascension Plan.
Uranus will also enter Gemini in 2024-2025. This astrological event will revolutionize space technology and eventually lead to the First Contact. When the Pleiades is in conjunction with Uranus, there will be a huge breakthrough in space technology. Pluto, Neptune and Uranus will together form a grand celestial trine.
Because of this aspect, the Pleiadians have become very active 3-4 years ago. These astrological configurations will greatly influence our society. We will see a shift in the financial system and humans’ spiritual awakening. There are also two asteroids worth mentioning. One is Sedna, which represents the cycle of the galactic pulse. Another is Haumea. It will also be in a very strong conjunction with the Pleiades. The Pleiadians will return to the surface world for the first time after the fall of Atlantis. They will stay here from then on.
Uranus -Pleiades conjunction can increase communications between humans and Pleiadian. Those who have already built their private contact zone should be prepared secretly .
Haumea is about to enter Scorpio. This will lead us to a new age of Aquarius.
We are going to witness many very powerful astrological configurations in the coming years.
I (Cobra) have been waiting for the right astrological signs since 2000. Astrologically speaking, 2012 was really boring. The following ones were also boring. In 2020, the dark forces used astrology to spread COVID pandemic because it was their last chance and they failed. Now the stars are supporting us and turning against them.
The dark forces utilized the pandemic in every way possible. We saw many strange things, such as mandatory masks, lockdowns and other restrictions.
2021 was the only chance for the Cabal to create a quarantine within the Earth quarantine zone. They felt the Earth quarantine zone was no longer safe, so they tried to create quarantine within it.
The dark forces tried to utilize the energy of Pluto in Aquarius and make the financial system collapse. If they had succeeded, the light forces would introduce a new financial system. Now is the time to make things right.

When these planets are in conjunction more frequently, the ascension energy will increase. The world’s situations will shift faster than we know before.

Here is the cycle of Sirius. Sirius B revolves around Sirius A. Around 2025, Sirius B will be the furthest away from Sirius A. This cycle takes about 50 years, which started in 1975 and ends in 2025. All the darkness must be removed during this 50-year cycle.
Sirius star system has a very strong connection with the Galactic Central Sun. It is protected by a highly evolved race. During the 1996 Archon invasion, it was the only safe, unaffected sector in our galaxy. Since 1996, the Light forces have utilized the Sirius portal to liberate this region. The Light forces also use Sirius to transmit powerful energy from the Galactic Central Sun. This is why we have to build a global cintamani grid of Light on the Earth, as it can help transmit powerful energy from Sirius smoothly.
I will explain the principle of Earth quarantine zone so that you can better understand how to break this matrix. During the last galactic superwave 25,000-26,000 years ago; 26,000 years ago to be specific, the dark forces decided to focus all their attention on this tiny planet. The first reason is that the Earth is in a very special location which is very close to an important stargate.
The Earth itself is a very beautiful,habitable planet. It has a moderate climate, enough atmosphere and enough land for plants and animals to grow. The annual year cycle is not too long, not too short. Its orbital period is good. The Earth does not need 100 years to circle around the Sun. Its daytime / nighttime cycle is also very suitable for the evolution and growth of intelligent creatures.
The Earth can be regarded as a great estate in this galaxy. The dark forces, reptilians and the Chimera invade the Earth in order to control it for themselves. In order to prevent the light forces from liberating the Earth, the dark forces have taken humans as hostages.
We can get a very small amount of freedom. People think that we are free to do what we want to do here, but this idea collapsed during the COVID pandemic. The dark forces have developed advanced technology which is hindering the Earth’s liberation.

The blue energy grid around the Earth is an electromagnetic fence. It prevents the Light from entering the Earth. Some chimera plasma spiders are as huge as hundreds of kilometers in size.
Vacuum state does not mean there is nothing. It ‘s not empty. There are still some fluctuations in the quantum level. This happens at the subatomic level, which is equivalent to the size of Planck’s constant. This quantum fluctuation is actually an intersection point of wave functions. By focusing our consciousness on the quantum field, subquantum particles will start to manifest into our reality.
These quantum fluctuations will also prevent more Light from entering our world. Back in Orion, the Dark Forces have developed advanced technology which can gather and concentrate quantum bubbles. They used portals to transport these massive quantum bubbles to the Earth. They sent a large number of quantum anomalies to Earth from 1996 to 1999 through a portal. They spread lots of anomalies around the Earth in order to prevent more light and positive spaceships from entering the Earth.
The advanced positive ET races use hyperspace to navigate their starships. Their ships are safe in hyperspace, but once they are manifested into normal space-time, it might not be safe for them to get close to the Earth. they might be attacked by the dark forces. There have been cases that Pleiadian ships have been shot down and the Pleiadian crew members were taken as hostages.
Quantum foam anomalies cause significant flight difficulties for star races. Their ships might experience malfunctions, which can be deliberate or random. Roswell incident is in fact a starship crashed by quantum foam anomalies .
Quantum fluctuation resonator is a zero-point energy portal that can help clean up quantum anomalies. Its torus field can filter the surrounding quantum space.
The dark force collects quantum anomalies from all over the universe with huge quantum chambers and then projects those anomalies around the Earth. The space-time continuum around the Earth is very distorted and strange. Everything looks normal for us, but when you see things from the energetic planes, you will find that the world is really strange. When you feel those quantum anomalies, you will know the space-time around the Earth is not normal and distorted.

This is a Calabi–Yau manifold. This is what the space-time continuum looks like in the 11th dimension. It is a torus with a central point. This is how the universe should look like. With more quantum anomalies, this torus will be more distorted. This is not perfect yet , but for now this is already beautiful.
Subquantum anomaly is not something we can detect with modern physics, because it is smaller than Planck constant. We can only detect its effect on the physical plane. This invisible force is interfering and distorting the space-time continuum
Subquantum anomaly comes from the last cosmic cycle. Occultists call this mysterious force “the Lurker.” It is a conscious being that prefers chaos. The light forces are using their technology to remove the Lurker and they are making some progress.
Each black hole creates distortion in space-time. When space-time falls into a black hole, it ceases to exist and is removed from the universe. When a dense and massive object drops onto spacetime and reaches a critical mass, it creates an event horizon.
Information flows freely in a normal spacetime. Hawking radiation is only one way for information to escape from a black hole. It means that some particles can find a way to escape from the black hole at the quantum level.
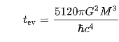
This is the equation for the evaporation of a black hole.

Suppose I have a black hole in my hand, it will have about the same weight as the Earth. It would take hundreds of billions of years for a palm-sized black hole to evaporate. Basically, it won’t evaporate until the next cosmic cycle. If it is a mile wide black hole , it is probably as heavy as the sun. It will take trillions of years to evaporate. However, if we apply quantum mechanics to black holes, it’s a completely different story. It does not take long for black holes to evaporate at the quantum level.
Modern quantum mechanics does not know that the physical world is not the only dimension in the universe. Information can escape from a black hole at the energy level. Tachyons can travel faster than the speed of light. When tachyons are thrown into a black hole, it can still escape to the other side of the black hole. So black holes are not a problem for tachyons. They can penetrate a black hole as if there is nothing in their way.
The light forces invented a very advanced quantum cannon technology- Mjölnir. It’s more like a quantum beam projector than a cannon. Mjölnir sends an energy beam to the quantum field and then disintegrates black holes at the subatomic level. In other words, black holes will evaporate at a faster rate.
The dark forces thought that these black holes won’t even disappear in tens of billions of years, but they were wrong.Now black holes are not a problem for the Light Forces, and we will see many interesting developments in the near future.
When the black holes are completely evaporated, tunnels of Set will be disintegrated as well. A tunnel of Set is a wormhole between two black holes. The dark forces use this wormhole connection to do bad things.
When black holes evaporate, Tunnels of Set will disappear immediately. When Tunnels of Set disappear, Tunnels of Light can be opened. Once all subatomic particles are connected with each other, a huge amount of Light from high dimensional planes will enter the Earth.
When all subatomic particles in the whole universe begin to communicate, the cosmic evolution can accelerate greatly.
Black hole itself is no longer a problem and will be cleared one day. Quantum and subquantum anomalies are more troublesome. The dark forces have created quantum and subquantum anomalies for millions of years. Some of those anomalies are remnants of previous cosmic cycle.
We have to clean up all the anomalies in just a few years. We have to complete this task before galactic superwave reaches the Earth,so we don’t have much time left. The light forces have to speed up the cleaning process, so things will become very intense. All darkness must be removed. These anomalies affect human behavior. You may feel that human behavior has become strange in recent months.
When all darkness is removed, the light forces will shut down Dyson spheres around the Earth and the Sun. the energy will flow then more smoothly to the Earth. Subatomic particles from the Sun will enter the Earth’s surface world more easily. We don’t have much time left and we can’t delay any longer.
As the Light Forces remove black holes, quantum field distortion will become less and less. Toplet bombs can be removed more easily.
Back in Orion, , the Dark Forces built a huge particle accelerator ring around the entire Rigel solar system. That ring was a hundreds of billions of kilometers long particle collider. It can store enormous energy. When two atomic nuclei are accelerated and forced to collide with each other, a very large number of top quark particles are produced. When the top quark particles gather together and become a clump . If this toplet cluster reaches the critical point, it will absorb other particles and atoms around it. It will devour its surrounding world.The clump will then become bigger and bigger and more and more dangerous.
Theoretically, a single top-quark clump can swallow the universe; fortunately the Light forces have enough control over the quantum field. They can stop this chain reaction. The problem is that there are too many anomalies around the surface world, so this chain reaction cannot be stopped immediately. A small top quark clump can swallow up the whole Earth. Eventually, the whole Earth will become a compressed top quark polymer which is about 100 meters in diameter. This bomb is way more dangerous than nuclear bombs.
Fortunately, the light forces can gradually control this situation. They are putting black holes and toplet bombs under good control. Once they can fully control the quantum field, all black holes and toplet bombs will be completely removed. The threat to the whole universe and the Earth will be neutralized for good. This will be a huge victory for the Light Forces.

Green b: bottom quark/ Big blue t: top quark
White u: Up quark / Green d: down quark -both are very small and light
Blue c: charm quark / Green s: strange quark
The heavier a quark is, the more energy is contained within. Top quark has the most energy among all kinds of quarks, hence, toplet bombs are very, very dangerous. Some stars can form strange quarks within them. Particle accelerator is the only way to produce top quarks. Mankind does not know much about this kind of particle weapon. Most people think that nuclear bombs are the most powerful weapons, because they know about nuclear explosions.
The Dark forces detonated atomic bombs at Hiroshima and Nagasaki on purpose. They did this so that people would be afraid of them.
Since two atomic bombs exploded in 1945, mankind has feared the power of nuclear weapons. In fact, both nuclear explosions were also a psychological experiment against mankind.
Mankind is not afraid of toplet bombs, because no one has ever personally experienced that power. Some beings of Andromeda galaxy were exposed to toplet bomb explosion, and they later mutated into the chimera.
Now , the light forces can dismantle these bombs once and for all.Once they remove all toplet bombs and black holes, they will begin to remove the basic structure of Earth quarantine zone.

Next, we are going to talk about the basic structure of the Earth quarantine zone and it is something related to the Scalar Matrix. (see the picture above) Scalar matrix is an artificial grid around the Earth made from the electromagnetic standing waves. The electromagnetic standing waves are classified into several kinds of frequencies of which are overlapping each other.
These different types of frequency waves have different impacts on humans, such as fear, guilt, disharmony and some of them cause kundalini energy suppression, feeling of guilt, and discord negative emotions.
Take a look at this picture, it is the pattern of positive standing waves and that is what a light grid should look like. In the middle part, it shows the light grid vortex of cintamani stone. When you bury a cintamani stone, it will create an energy vortex just like you can see in the middle.
Dark forces have built up a large number of electromagnetics which are with different frequencies and those waves have different impacts on humans. The artificial Scalar Matrix was brought to the Earth in the Atlantis age.

This electromagnetic frequency can also affect the human aura. The original aura of each person (Figure) is a rainbow circle. The dark forces have implanted electromagnetic fences in the human aura. They used artificial standing waves to project misconceptions and false ideas to human mind. They create some false emotions that do not belong to their victims.
Those electromagnetic frequencies block etheric energy flow . They also form etheric templates for human diseases. There are three implants in the human body, two in the frontal lobe above the eyes and one above the belly button. The two brain implants affect humans’ normal thinking
The implant above the belly button blocks Kundalini energy flow. It can also suppress human sexual energy and cause sex/ love separation.
Implants in women block sex energy from going above implants in men block love energy from going down. This belly button implant leads to various conflicts in human society.

This diagram is the Creation Pattern. The bottom layer consists of the physical forms as we know- solid, liquid and gas.
Solid is the densest and hardest state of matter. liquid means atoms have more mobility and free movement. Gas means atoms can move more freely as there is more energy inside.
If you apply more energy to gas, then you will get ionized gas also called plasma. If you apply more energy to the plasma, you will get etheric materia. Etheric plane is divided into four energy levels. When we talk about chakras and meridian systems, they are at the level of etheric plane. Chinese medicine use acupuncture and other methods to directly interact with human chakras and meridians. Tachyons are quite similar to the principles of Chinese medicine. The dark forces have done many experiments on the plasma plane, and they have invented many dangerous plasma technologies.
In the past few years, the Light forces removed many dangerous plasma weapons. Most plasma anomalies have been removed. Many red and orange orbs belonged to the dark forces.
If you apply more energy to etheric matter, you will get astral matter also known as emotional matter. Emotional plane has seven layers which are linked seven emotions.
The first sublayer of the emotional layer is very dense. This is where our subconscious emotions and thoughts are stored. The second is depression. The third is fear. The fourth is sadness. The fifth is guilt. The sixth is trauma-related emotions. The seventh is joy.
The reptilians control the lower four layers of the emotional plane . When more evolved human dies, his/ her soul will usually go to the upper layers of the emotional plane After the quarantine is lifted angels will move into the upper emotional layers.
Lower mental plane represents stubborn thoughts. The higher the layer, the more flexible a thought will be. The upper three layers of the mental plane are also called the causal plane. Beyond the mental plane, there is a world of light and love.
When you meditate, it is possible to connect to the higher dimensions and your higher self.
2023 is the year for the Return of the Spirit. The Return of the Spirit means that the energy from the fifth to seventh dimensions begins to enter the lower dimensions. The Light will enter the mental, emotional , etheric and physical plane. These higher dimensional energies will help prepare the Earth for the Ascension Plan. This process began this February at the Earth’s mental plane,as the Light forces drove Lords of Karma out of their stronghold in the mental plane. For the past 25,000 years, Lords of Karma have occupied Earth’s mental plane, controlling the Earth quarantine zone.
Lords of Karma control and have access to all Akashic information in the Earth quarantine zone. They have been secretly manipulating human history for the past 25,000 years.
They are controlling flows of energy and information on the Earth. This situation was reversed this February. The light forces opened a rift so that more light can now enter the surface world. Some Lords of Karma were captured and then sent to the Central Galactic Sun for disintegration. The rest of them are running to lower planes; some even escaped to the physical plane. the upper layers of the mental plane have been cleared- they are now free from dark forces.
Spiritually-evolved people might feel that there is no more darkness in higher energy planes. They might also feel that it’s now easier to connect with their causal bodies during meditation. The Light forces have cleared most of the darkness in the lower layers of the mental plane and the upper layers of the emotional plane. The light forces are trying to clear the darkness in the lower emotional plane. The main problem exists in the etheric and physical planes. The etheric matrix is still intact.
The surface world has been almost unchanged for 25,000 years. The physical plane is the last place to be purged. The light forces are using Mjolnir to clear all these dimensions as soon as possible. Some souls who have passed away have begun to feel some changes. Spirit worlds have already undergone very drastic changes. The physical plane has not yet fully transformed. The light forces must remove the etheric matrix before clearing the physical plane.
Now the main goal of the dark forces is to block the Light flowing into humans’ etheric bodies. They are suppressing the energy flow around human navel. They block human kundalini energy and suppress human emotions. When humans can be aware of their emotions, they can be free and think again.
When humans suppress their emotions, those emotions will be put around the implant. The energy flow will be blocked and it will be more and more difficult to break through.
Cell phones have become a method of control. Most humans have become addicted to cell phones. They have become emotionless robots that keep staring at their cellphones. All mind programming that people receive from their cell phones can block the energy flow in human etheric bodies. This control network allows energy parasites to creep into human body.
This etheric control energy grid is operated by an artificial intelligence. This artificial intelligence has existed for 26,000 years. It is on the one hand very intelligent and on the other hand is also very stupid. It cannot be smarter than its creator. It was created in ancient Atlantis and got upgraded in 1996. It can learn human response. It can detect human emotions and aura This etheric matrix network sends programmed pulse signals to the human etheric body. The pulse is then implanted into the human aura, and then it can detect how the human body reacts.
Cell phones are aura monitoring devices. Al uses cell phones to detect the energy flow of human aura. Chimera group has a mainframe computer in DARPA. This mainframe computer stores all emotional responses of cell phone users.
This mainframe computer can make an emotion model to predict human behaviors. It cannot influence human free will but human subconscious responses. Its programs can block energy flow in human etheric bodies. It can cause separation between sex and love energies. When male and female polarity combine correctly, they can create a very powerful energy.
The Chimera group has been separating twin souls since the time of Atlantis. The separation of twin souls is the foundation of the Earth quarantine zone. The Chimera monitors the reincarnation process of all humans. Breaking up twin souls seems not enough to them. They must completely destroy the relationship between men and women in order to maintain full control. This is why they created a homosexual programming. I’m not talking about congenital homosexuality. It is normal to be born homosexual. The real issue is that people are being deliberately programmed into homosexual.
This homosexual programming is meant to destroy male and female polarities. When male and female energies are properly combined, they can create a powerful energy vortex which can crack the matrix and the Veil. So the dark forces work very hard to avoid this.
Transgender programming is designed to suppress the correct combination of male and female polarities. The dark forces promote other strange gender concepts in order to destroy the correct flow of male and female polarity energy.
The dark forces want to further block humanity’s connection with the Source by replacing spirituality with technology. They want to make technology the new God for humanity. They want to use AI to replace the Ascension Plan. They don’t want humans to achieve immortality, so they encourage people to upload consciousness to machines. None of their plans will happen. Once the matrix disintegrates, all those plans will fall apart.
Recently , lightworkers have been under very serious attack. Many of them were under serious attack on April 1st, so the Light forces had to do some quick counterattack. the Light forces managed to create a glitch in the mainframe computer of the dark forces. On April 2nd, the Light forces successfully cracked a part of the mainframe program. Some glitches started to appear in the etheric control network. This is the first time it has ever happened.
The light forces are getting closer to the dark force’s very large mainframe computer. Once this large mainframe computer is cracked down, we will be able to see scenes like Matrix the movie – a new dawn of the new world.
Some New Age communities have talked about the Earth is about to ascend from the third dimension to the fifth dimension. In fact, the Earth is the focal point of the ongoing quantum transformation in the universe.
The old world has its own physical laws, but the new world also has its set of physical laws. The third dimension represents the physical laws of the old world, , and the fifth dimension represents the ones of the new world. This phase transition will dramatically change the world as we know it. No one can prepare for such a big change because no one knows exactly what kind of change will happen. The change will come with an unprecedented intensity.
In the past, it might take billions or tens of billions of years for a big change to occur, but now it only takes a few decades or years for a big change to happen. The speed of change is now increasing , which means we are moving from a single singularity event to Compression Breakthrough. When we review human history once it enters the singularity, we will see that it all adds up to the step of the singularity and the Compression Breakthrough.
This is the model diagram of phase transition (Figure)

We are in the bubble rise phase. That X at the top of the diagram is the point when the Event takes place. Our surface world is a thermodynamic system. The light forces are adding more and more heat to this system, so there is more and more energy in this system.
The closer we get to the phase transition, the more changes we will see. We are getting very close to the transition, so the current moment is also the most difficult . As we have poured so much energy into it without seeing the change which should have happened, there is a lot of pressure within the system. Now is the quiet before the storm. We are experiencing the quiet before the final breakthrough. The light forces are exerting more pressure on the Earth quarantine zone, it will one day disintegrate.
The pressure will be released at once when the breakthrough occurs. If we want to make the breakthrough happen more smoothly and quickly, we need to help break the matrix.
Event Visualiztion
Find a piece of paper and write down what it will be like on the day of the Event. You can write what date it happens. You can write it in the form of a news story. Imagine today is the first day of the Event. Write down how you spend this day.
The purpose of this activity is to keep visualizing the best possible scenes. Timeline itself is flexible. If we keep visualizing the best possible scenes, one day the best will happen. You can start visualizing the best Event scenario from now on. you can start to think about the best situation before the Event really happens. Doing so can increase the chance of the best scenario to happen. You can practice a short meditation anytime that you and your loved ones have the condition on the first day of the Event.
The Resistance Movement is preparing a big breakthrough in terms of AI. Some AI tools in the surface world are very dangerous, such as ChatGPT. ChatGPT is secretly collecting your data. People think this AI chatbot is very convenient, it is stealing information from everyone.
The Resistance Movement is promoting their AI, which will be introduced to the surface population at the moment of the Event. This AI will take over the internet after the Event.
It will also start to spread right information on the Internet. light forces will Then be able to use this AI to deliver correct news. No one on the surface world can resist this AI. The Resistance Movement will reveal it at the right time.
Lecturer:Cobra
Interpreter:Patrick Shih
Stenographer:傳奇、驊原
Proofreader:Cobra、Patrick Shih、傳奇
Copywright C© 2023 International Golden Age Group. All rights reserved. No part of this publication may be reproduced by any means. Any individual or group who wishes to distribute this note must keep the original content and the original website link in their articles and posts. Violators will face further legal actions.
When sharing this note, you must upload the original content and keep the original website link in to your post:

